Funciones.
Veremos como se resuelve las ecuaciones cuadráticas en dos formas: solución por factorización y Utilizando la formula cuadrática.
FUNCIÓNES REALES
RELACIÓN:una relación R, definida como un conjunto X en un conjunto Y, es una correspondencia entre los elementos de los dos conjuntos.
Ejemplo:
Considera estos conjuntos X y Y: X ={2, 3, 5, 6} y Y = {1, 2, 4, 9, 10}.
Si x es un elemento de X y y, un elemento de Y, puede definirse una relación R de X en Y, mediante el enunciado: “cada elemento del conjunto X le corresponde sus multiplos de Y ”.
¿Cuáles son los elementos de R?
La relación está conformada por todas las parejas ordenadas de la forma (x, y) que cumplan la condición que define a R, así:
R = { (2, 2), (2, 4), (2, 10), (3, 9), (5, 10) }.

FUNCIÓN
Una función f es una relación que asigna acada elemento x de un conjunto X un único elemento y de un conjunto Y. Se llama dominio de f ( se indica como D(f) ) al conjunto de valores que toma la variable independiente,x y rango o recorrido de f ( se indica como R(f) )al conjunto de valores que puede tomar la variable dependiente y.
Ejemplo: Interpretemos el concepto de función con un ejemplo.
El costo anual, en millones de pesos de una maquina para fabricar botellas en función del tiempo que lleva funcionando esta dado por la función f(x) = x2 - 3x + 2
¿Cuanto dinero se invertirá en mantenimiento de la maquina al cabo de 5 años?
Para su solución realizamos una tabla de datos
| x (Años) | 1 | 2 | 3 | 4 | 5 |
| f(x) | 0 | 0 | 2 | 6 | 12 |
Los datos de la tabla se obtienen reemplazando en f(x) = x2 - 3x + 2 Veamos como:
Costo de mantenimiento de la maquina en el primer año
f(1) = 12 - 3(1) + 2 = 1 - 3 + 2 = 0
Costo de mantenimiento de la maquina en el segundo año
f(2) = 22 - 3(2) + 2 = 4 - 6 + 2 = 0
Costo de mantenimiento de la maquina en el tercer año
f(3) = 32 - 3(3) + 2 = 9 - 9 + 2 = 2
Costo de mantenimiento de la maquina en el cuarto año
f(4) = 42 - 3(4) + 2 = 16 - 12 + 2 = 6
Costo de mantenimiento de la maquina en el quinto año
f(5) = 52 - 3(5) + 2 = 25 - 15 + 2 = 12
Terminado el quinto año, se invertirian en mantenimiento de la maquina:
0+0+2 +6 +12 = 20 millones de pesos.
Esta relación es una función donde el D(f) = {1, 2, 3, 4, 5 } y R(f)= {0, 2, 6, 12 }
Realicemos la gráfica de la función ampliando el dominio,tomando otros valores.
Como la función es cuadrática, su gráfica es una parábola encotremos el vértice:
El vertice es la pareja ordenada V= ( - b/2a , f(-b/2a) ). De la ecuación f(x) = x2 - 3x + 2
a es el valor que acompaña a x2 , en este ejercicio es 1, es decir x2 = 1x2
b es el valor que acompaña la variable x, en este ejercicio es -3
Luego :
- b/2a = -(-3)/2(1) = 3/2
como - b/2a es 3/2, remplazamos esre valor en la función f(x) = x2 - 3x + 2, así:
f(3/2) = (3/2)2 - 3(3/2) + 2
= 9/4 - 9/2 +2
= 9/4 - 9x2/2x2 +2x4/4
=9/4 -18/4 +8/4
= -1/4
Por lo tanto el vértice es la pareja ordenada ( 3/2 , -1/4 )
Ahora hallemos el corte de la gráfica con el eje Y, esto se hace cuando x=0
Y= x2 - 3x + 2
Y= 02 -3(0) +2
Y=2 Luego el corte con el eje Y es el punto ( 0,2 )
Tomemos ahora dos valores a la izquieda del vértice para obtener dos puntos de la la otra rama de la parábola, estos pueden ser X= -1 y x= - 2
f(-1) = (-1)2 - 3(-1) + 2 f(-1) = 1 + 3 + 2 f(-1) = 6
f(-2) = (-2)2 - 3(-2) + 2 f(-2) = 4 +6 + 2 f(-2) = 12
La nueva tabla queda así:
| x | -2 | -1 | 0 | 1 | 3/2 | 2 | 3 | 4 | 5 |
| f(x) | 12 | 6 | 2 | 0 | -1/4 | 0 | 2 | 6 | 12 |
En el plano Cartesiano realizamos la gráfica

ECUACIONES CUADRÁTICAS
Una ecuación cuadrática tiene la forma ax2 + bx + c = 0, con a, b y c ϵ ℝ. Esta ecuación tiene a lo más dos soluciones. Para resolver ecuaciones veremos tres formas:

1. Solución por factorización:
Toda expresión de las forma x2 + bx + c = 0, puede ser factorizado, de forma (x+m)(x+n). ( Ver en el algebra Baldor:factorizaciòn de la forma x2 + bx + c, )
Cuando hallemos la factorización x2 + bx + c = (x + m)(x + n) = o, podemos hallar fácilmente la solución de la ecuación, ya que el producto de dos factores es cero si y solo si al menos uno de los factores es igual a cero, por tanto, las soluciones son:
x1+m=0 → x1= - m
x2+n=0 → x2= - n
Ejemplo 1. Resuelve la ecuación 3(x2 + 1) = 5(1 –x)
Aplicamos la distributiva en ambos lados.
3x2 + 3 = 5 – 5x
Luego, pasamos todo al otro lado de la igualdad
3x2 + 5x + 3 -5 = 0
Resolvemos términos semejantes.
3 x2+ 5x -2 = 0 ax2 + bx +c =0
a= 3 b=5 c=-2
Entramos a factor.
9 x2+ 5(3) x -6 =

En consecuencia 3x - 1 = 0 ó x + 2=0
El primer caso 3x =1 despejamos x

El segundo caso x +2=0 despejamos x2

Ejemplo 2: Resuelve la ecuación por factorización x2 + 5x + 6 = 0
(x +3)(x +2)
(x + 3)(x + 2)=0
En consecuencia
x + 3 = 0 ó x + 2=0
X = -3 X = - 2
Ejemplo 3:
5x2 +8x +3=0
5(5x2 ) +5(8x) +5(3) =0
25x2+ 5 (8x) + 15=0
(5x+5)(5x+3)

( x+1) ( 5x+3 ) = 0
x+1=0 5x+3 = 0
x1= -1 5x= - 3

Ejemplo 4: X2+4x+4=0
( x+2 ) ( x+2 ) = 0
X+2=0 X+2=0
X=-2 X = - 2
FÓRMULA CUADRATICA
La fórmula cuadrática, descubierta primero por los babilonios cuatro mil años atrás, nos da una manera segura de resolver las ecuaciones cuadráticas de la forma
ax2 + bx + c=0.
Colocando los valores de a, b, y c, Usted obtendrá los valores deseados de x.

Ejemplo 1: Resuelva la ecuación cuadrática.
x2 – x – 12 = 0
Aquí a = 1, b = –1, y c = –12. Sustituyendo, obtenemos:


Por lo tanto la solución es:
x= 4 y x=-3
Ejemplo 2: Resuelva la ecuación cuadrática.
3 x2 + 2 x + 1 = 0
a= 3, b=2 y c=1

La raíz de -8 no existe,por la tanto la ecuación no tiene solución real |
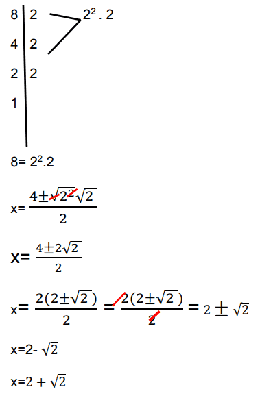
Ejemplo 3: Resuelva la ecuación cuadrática.
X2 – 4x +2=0
Aquí a = 1, b = -4, y c = 2. Sustituyendo, obtenemos:

Simplificamos la raíz

Taller 1
Resuelva las siguientes ecuaciones por factorización:
1. (x+3)(x-3) = x- 9
2. 4x2 – 4x – 15 = 0
3. 3x2 -11x +10=0
4. x2 + 9x + 14 = 0
5. x2 -7x + 12 = 0
Taller 2.
1. 3x2 + 6x -2=0
2. X2 + x -3=0
3. 4x2 – 12x +9=0
La raíz de -8 no existe,por la tanto la ecuación no tiene solución real