Medidas de tendencia central
7667
Las medidas de tendencia central son valores que representan o resumen el comportamiento “típico” o “central” de un conjunto de datos.
Básicamente, buscan indicar dónde se concentra la mayor parte de la información.
Las principales son:
- Media aritmética (promedio):
Se obtiene sumando todos los datos y dividiendo entre la cantidad de datos.
Ejemplo: si las notas son 3.5, 4.0 y 5.0 → (3.5 + 4.0 + 5.0) ÷ 3 = 4.17 - Mediana:
Es el valor que queda en la posición central cuando los datos están ordenados.
Ejemplo: 2, 5, 6, 7, 10 → mediana = 6
(si hay cantidad par de datos, se toma el promedio de los dos centrales). - Moda:
Es el valor que más veces se repite en el conjunto.
Ejemplo: 4, 7, 7, 8, 10 → moda = 7
¿Para qué sirven?
- Resumir la información de grandes conjuntos de datos en un solo valor representativo.
- Comparar grupos o poblaciones.
- Tomar decisiones basadas en datos (por ejemplo, saber el ingreso promedio de una comunidad).
- Identificar comportamientos típicos o centrales en fenómenos estudiados.
Moda
- La moda es el valor que tiene mayor frecuencia absoluta.
- Se representa por Mo.
- Se puede hallar la moda para variables cualitativas y cuantitativas.
Hallar la moda de la distribución:
2, 3, 3, 4, 4, 4, 5, 5
Mo. = 4
Si en un grupo hay dos o varias puntuaciones con la misma frecuencia y esa frecuencia es la máxima, la distribución es bimodal o multimodal, es decir, tiene varias modas.
1, 1, 1, 4, 4, 5, 5, 5, 7, 8, 9, 9, 9
Mo. = 1, 5, 9
Cuando todas las puntuaciones de un grupo tienen la misma frecuencia, no hay moda.
2, 2, 3, 3, 6, 6, 9, 9
Si dos puntuaciones adyacentes tienen la frecuencia máxima, la moda es el promedio de las dos puntuaciones adyacentes.
0, 1, 3, 3, 5, 5, 7, 8
Mo. = 4
Cálculo de la moda para datos agrupados
1º Todos los intervalos tienen la misma amplitud.

- Li es el límite inferior de la clase modal.
- fi es la frecuencia absoluta de la clase modal.
- f
i-1 es la frecuencia absoluta inmediatamente inferior a la en clase modal. - fi-+1 es la frecuencia absoluta inmediatamente posterior a la clase modal.
- ai es la amplitud de la clase.
También se utiliza otra fórmula de la moda que da un valor aproximado de ésta:

Ejemplo:
Calcular la moda de una distribución estadística que viene dada por la siguiente tabla:
|
fi |
|
|
[60,63) |
5 |
|
[63,66) |
18 |
|
[66,69) |
42 |
|
[69,72) |
27 |
|
[72,75) |
8 |
|
100 |
En primer lugar, buscamos el intervalo donde se encuentra la moda, que será el intervalo que tenga la mayor frecuencia absoluta . (fi)
La clase modal es: [66,69)
Aplicaremos la fórmula para el cálculo de la moda para datos agrupados, extrayendo los siguientes datos:
Límite inferior: 66

2º Los intervalos tienen amplitudes distintas.
1. En primer lugar, tenemos que hallar las alturas.

2. la clase modal es la que tiene mayor altura.

3. La fórmula de la moda aproximada cuando existen distintas amplitudes es:

Ejemplo:
En la siguiente tabla se muestra las calificaciones (suspenso, aprobado, notable y sobresaliente) obtenidas por un grupo de 50 alumnos. Calcular la moda.
|
fi |
|
|
[0, 5) |
15 |
|
[5, 7) |
20 |
|
[7, 9) |
12 |
|
[9, 10) |
3 |
En primer lugar, creamos una nueva columna con las alturas, dividiendo las frecuencias absolutas entre las amplitudes de los intervalos correspondientes:

|
fi |
hi |
|
|
[0, 5) |
15 |
3 |
|
[1, 7) |
20 |
10 |
|
[7, 9) |
12 |
6 |
|
[9, 10) |
3 |
3 |
|
50 |
La clase modal es [5,7) porque es la que tiene mayor altura
Límite inferior: 5

Mediana
Es el valor que ocupa el lugar central de todos los datos cuando éstos están ordenados de menor a mayor.
La mediana se representa por Me.
La mediana se puede hallar sólo para variables cuantitativas.
Cálculo de la mediana
1. Ordenamos los datos de menor a mayor.
2. Si la serie tiene un número impar de medidas la mediana es la puntuación central de la misma.
2, 3, 4, 4, 5, 5, 5, 6, 6
Me= 5
3. Si la serie tiene un número par de puntuaciones la mediana es la media entre las dos puntuaciones centrales.
7, 8, 9, 10, 11, 12
Me= 9.5
Cálculo de la mediana para datos agrupados
La mediana se encuentra en el intervalo donde la frecuencia acumulada llega hasta la mitad de la suma de las frecuencias absolutas.
Es decir, tenemos que buscar el intervalo en el que se encuentre 

Li es el límite inferior de la clase donde se encuentra la mediana.

es la semisuma de las frecuencias absolutas.
Fi-1 es la frecuencia acumulada anterior a la clase mediana.
ai es la amplitud de la clase.
La mediana es independiente de las amplitudes de los intervalos.
Ejemplo
Calcular la mediana de una distribución estadística que viene dada por la siguiente tabla:
|
|
fi |
Fi |
|
[60, 63) |
5 |
5 |
|
[63, 66) |
18 |
23 |
|
[66, 69) |
42 |
65 |
|
[69, 72) |
27 |
92 |
|
[72, 75) |
8 |
100 |
|
|
100 |
100 / 2 = 50
Clase modal: [66, 69)

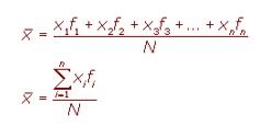
Media aritmética
La media aritmética es el valor obtenido al sumar todos los datos y dividir el resultado entre el número total de datos.

Ejemplo
Los pesos de seis amigos son: 84, 91, 72, 68, 87 y 78 kg. Hallar el peso medio.

Media aritmética para datos agrupados
Si los datos vienen agrupados en una tabla de frecuencias, la expresión de la media es:

Ejercicio de media aritmética
En un test realizado a un grupo de 42 personas se han obtenido las puntuaciones que muestra la tabla. Calcula la puntuación media.
|
|
xi |
fi |
xi · fi |
|
[10, 20) |
15 |
1 |
15 |
|
[20, 30) |
25 |
8 |
200 |
|
[30,40) |
35 |
10 |
350 |
|
[40, 50) |
45 |
9 |
405 |
|
[50, 60 |
55 |
8 |
440 |
|
[60,70) |
65 |
4 |
260 |
|
[70, 80) |
75 |
2 |
150 |
|
|
42 |
1 820 |

|
|
xi |
fi |
|
[60, 63) |
61.5 |
5 |
|
[63, 66) |
64.5 |
18 |
|
[66, 69) |
67.5 |
42 |
|
[69, 72) |
70.5 |
27 |
|
[72, ∞ ) |
|
8 |
|
|
|
100 |
En este caso no es posible hallar la media porque no podemos calcular la marca de clase de último intervalo.
TALLER


